まちのくすりばこ
/
薬学的支援
/
服薬指導用ツール
/
Wiki_服薬指導のための資料
/
抗菌薬アレルギーと交差性
/
抗菌薬アレルギー
/
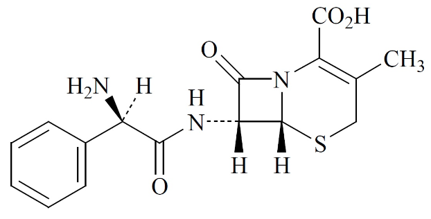
セファレキシン
セファレキシン
2025/6/21
10:58
2026/2/2
17:08