まちのくすりばこ
/
薬学的支援
/
服薬指導用ツール
/
Wiki_服薬指導のための資料
/
抗菌薬アレルギーと交差性
/
抗菌薬アレルギー
/
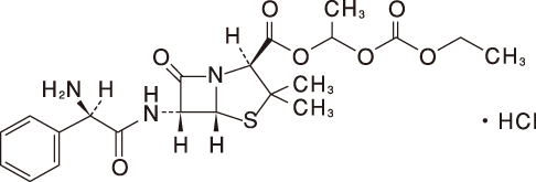
バカンピシリン
バカンピシリン
2026/2/2
17:19
2026/2/2
17:21